LIC’s New Endowment Plan is a non-linked & participating plan that offers a combination of protection and saving. With savings feature, you can accumulate wealth that helps you fulfill long term financial goals. This plan also provides financial cover for the family, when you are not there.
Get QuoteDeath Benefit
In case of death of the life assured during the policy term, Sum Assured on Death plus vested Simple Reversionary Bonuses and Final Additional Bonus is payable, provided all the premiums have been paid. Sum Assured on Death is higher of 10 times of annualised premium or Basic Sum Assured.
The death benefit under this plan is at least 105% of all the premiums paid till the date of death.
Maturity Benefit
In case of survival of the life assured till the maturity of the policy, a lump sum of basic sum assured along with vested Simple Reversionary Bonuses and Final Additional Bonus is payable, provided all the premiums have been paid.
Bonus
Simple Reversionary Bonuses is declared annually at the end of each financial year. This bonus is added from the date of commencement of the policy until completion of the chosen policy term or death, whichever occurs earlier. Final Additional Bonus may also be declared on death or maturity during the term of the policy, provided the policy is active for certain minimum term.
Loan Benefit
Loan amount can be availed, provided all the premiums for at least 3 full years have been paid.
Surrender Value
Surrender value can be acquired at any time, provided all the due premiums for at least 3 full policy years have been paid. The guaranteed surrender value is a percentage of the total premiums paid. The surrender value of vested simple reversionary bonuses is also payable. The Special Surrender Value is payable, when it is favorable to the policyholder. The Special Surrender Value is the discounted value of the sum of Paid-up Sum Assured and vested simple reversionary bonuses.
Tax Benefit
You can avail tax benefits under the Income Tax Act, subject to prevailing tax laws.
| Factor | Minimum | Maximum |
| Age (as on last birthday) | 8 Years | 55 Years |
| Age at Maturity | - | 75 Years |
| Policy Tenure | 12 Years | 35 Years |
| Premium Paying Term | Equal To Policy Term | - |
| Premium Paying Mode | Annually, Semi Annually, Quarterly & Monthly | - |
| Premium Amount | - | - |
| Sum Assured | Rs 1 Lac | No Limit (subject To Underwriting) |
| Freelook Period | 15 Days/30 Days (for Distance Marketing Channel) From The Receipt Of The Policy | - |
| Grace Period | 30 Days (15 Days For Monthly Mode) | - |
| Plan Type | Offline | - |
LIC’s Accidental Death and Disability Benefit Rider can be opted under this plan, on payment of additional rider premium.
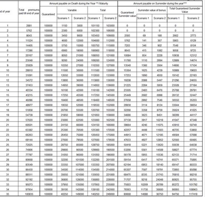
Let’s understand the plan with the help of below illustration.
Mr. Raman at 30 years, wants to buy a plan that provides both savings and protection. He opts to buy LIC’s New Endowment Plan with the policy term of 35 years, pays the annual premium of Rs 2,881 with the sum assured of Rs 1 Lac.
Scenario A: Raman Survives through the Policy Term
If Mr. Raman survives till the end of the policy term, Rs 1,0,000 plus vested Simple Reversionary Bonuses and Final Additional Bonus is payable. The maturity benefit can further be used to fulfill your financial goals.
Scenario B: Raman dies during the Policy Term
In the event of demise of Mr. Raman during any policy year, Rs 1,0,000 along with vested Simple Reversionary Bonuses and Final Additional Bonus is payable. This death benefit ensures the financial cover for his family.
Benefit Illustration

Note: The non-guaranteed benefits as illustrated above are calculated at Projected Investment Rate of Return of 4% per annum (Scenario 1) and 8% p.a. (Scenario 2) respectively.
Unbiased information on plans from varied insurance companies
Easy comparisons to choose the best insurance plan
No hidden costs, pay the same premium as offered by the insurer
Pre and post sales expert assistance for smooth online buying experience
Reliable, Accurate and Quick policy servicing